Contoh Surat Tawaran Tender / Pada umumnya, surat ini bertujuan untuk menyampaikan sebuah informasi dari pengirim kepada penerima surat tersebut.

Contoh Surat Tawaran Tender / Pada umumnya, surat ini bertujuan untuk menyampaikan sebuah informasi dari pengirim kepada penerima surat tersebut.. Contoh surat terima tawaran tender. Menjalin komunikasi yang baik dan berkelanjutan antara pemberi tawaran dan yang ditawarkan agar dapat terjalin kerjasaman yang diharapkan. Walaubagaimanpun contoh surat tawaran kerja dibawah akan memudahkan pencarian anda. Surat setuju terima tawaran pelantikan. Pictures gallery of contoh surat penawaran harga untuk tender.

By xiao doubles 114035 views. Dalam berbisnis ada berbagai macam aspek yang bisa membuat seseorang sukses. Namun berbeda dengan dulu dimana pengguna surat sangat banyak, sekarang penggunaan surat sebagai media komunikasi sudah semakin sedikit. Surat mohon maaf menolak tawaran la. Walaubagaimanpun contoh surat tawaran kerja dibawah akan memudahkan pencarian anda.

contoh surat dukungan alat untuk tender
contoh surat dukungan alat untuk tender from imgv2-2-f.scribdassets.com
Dalam sebuah universitas, biasanya ada banyak tawaran beasiswa untuk mahasiswa. Salah satunya adalah adanya surat pengajuan seperti berikut ini. Surat tawaran pekerjaan mempunyai komponen seperti berikut,surat tersebut haruslah mengandungi maklumat jawatan yang ditawarkan ,tarikh mula bekerja dan maklumat faedah kerja dan program pencen. Pada umumnya, surat ini bertujuan untuk menyampaikan sebuah informasi dari pengirim kepada penerima surat tersebut. Contoh perjanjian rmt sekolah rendah by noor dollah 7427 views. Contoh surat permohonan beasiswa kuliah. Untuk contoh surat referensi bank sudah tersedia banyak formatnya di internet. Dokumen tender ialah satu naskah tawaran yang dikeluarkan oleh pihak klien apabila ia berhasrat untuk melaksanakan sesuatu projek.

Surat tawaran pekerjaan mempunyai komponen seperti berikut,surat tersebut haruslah mengandungi maklumat jawatan yang ditawarkan ,tarikh mula bekerja dan maklumat faedah kerja dan program pencen.

Salah satunya adalah dengan membuat surat penawarkan barang yang dianggap ampuh mendongkrak. Termasuk semua lampiran yang diminta, sebagai contoh, surat tawaran yang ditandatangani, perjanjian tidak bersaing, atau maklumat atau dokumen lain yang disenaraikan dalam tawaran tersebut. Dalam berbisnis ada berbagai macam aspek yang bisa membuat seseorang sukses. Dengan hormat, yang bertanda tangan di bawah ini: Contoh surat permohonan beasiswa kuliah. Dokumen tender ialah satu naskah tawaran yang dikeluarkan oleh pihak klien apabila ia berhasrat untuk melaksanakan sesuatu projek. Contoh perjanjian rmt sekolah rendah by noor dollah 7427 views. Surat keterangan ini sekilas hampir mirip dengan surat pernyataan, namun sejatinya ke dua surat tersebut adalah surat yang berbeda. Anda sedang membuka postingan contoh surat penawaran harga untuk tender yang berada pada kategori contoh surat dengan tag postingan berikut contoh surat. Surat mohon maaf menolak tawaran la. Salah satu contoh surat resmi adalah surat penawaran. Penjelasan lengkap seputar contoh surat penawaran yang baik dan benar. Ikut contoh surat tolak tawaran untuk latihan industri, internship atau praktikal.

Namun berbeda dengan dulu dimana pengguna surat sangat banyak, sekarang penggunaan surat sebagai media komunikasi sudah semakin sedikit. This image is provided only for personal use. Dokumen tender ialah satu naskah tawaran yang dikeluarkan oleh pihak klien apabila ia berhasrat untuk melaksanakan sesuatu projek. Dalam sebuah universitas, biasanya ada banyak tawaran beasiswa untuk mahasiswa. Pihak kontraktor yang berminat untuk menyertai projek tersebut perlu mengisi dan melengkapkan dokumen tender dan memulangkan dalam tempoh.

Contoh Surat Tawaran Tender
Contoh Surat Tawaran Tender from 1.bp.blogspot.com
Dokumen tender ialah satu naskah tawaran yang dikeluarkan oleh pihak klien apabila ia berhasrat untuk melaksanakan sesuatu projek. Contoh surat referensi bank dengan tujuan ikut tender. Contoh surat terima tawaran tender. Surat penawaran tender adalah tawaran untuk mengajukan harga, memborong pekerjaan, atau menyediakan barang yang diberikan oleh segala jenis proyek dalam bentuk pembangunan atau pun bukan, selalu diperlukan adanya tender atau tawaran pengajuan harga dan penyediaan barang dan. Surat setuju terima tawaran pelantikan. Dalam sebuah universitas, biasanya ada banyak tawaran beasiswa untuk mahasiswa. By xiao doubles 114035 views. Bg007 surat setuju terima tawaran v3.

Contoh surat terima tawaran tender.

Contoh surat tawaran pembiayaan ppg. Informasi undangan yang kami bagikan semoga menjadi informasi terbaik dan bisa benrmanfaat untuk semua khususnya informasi tentang contoh surat tawaran weding organizer terbaru 2020 yang semuanya kami kumpulkan dengan serapih mungkin. Penjelasan lengkap seputar contoh surat penawaran yang baik dan benar. Salah satunya adalah adanya surat pengajuan seperti berikut ini. Pembatalan putusan badan arbitrase pasar modal skim perkhidmatan pembantu pentadbir.(a) contoh surat tawaran opsyen. By xiao doubles 114035 views. Contoh perjanjian rmt sekolah rendah by noor dollah 7427 views. Contoh surat referensi bank dengan tujuan ikut tender. Bg007 surat setuju terima tawaran v3. Anda sedang membuka postingan contoh surat penawaran harga untuk tender yang berada pada kategori contoh surat dengan tag postingan berikut contoh surat. Surat setuju terima tawaran pelantikan. Contoh surat terima tawaran tender. Demikian surat penawaran kami sampaikan , harapan besar kami ialah bisa menerima tawaran kami.

Ikut contoh surat tolak tawaran untuk latihan industri, internship atau praktikal. Untuk mendapatkan barang yang dicari, maka tentu saja harus mendapatkan supplier terlebih dahulu. Surat setuju terima tawaran pelantikan. Surat penawaran terdiri dari berbagai jenis tergantung dengan tujuan dibuatnya surat penawaran tersebut. Pihak kontraktor yang berminat untuk menyertai projek tersebut perlu mengisi dan melengkapkan dokumen tender dan memulangkan dalam tempoh.

Jawatankuasa Perolehan Menteri Kewangan Telah ...
Jawatankuasa Perolehan Menteri Kewangan Telah ... from i2.wp.com
Contoh surat tawaran pembiayaan ppg. Penjelasan lengkap seputar contoh surat penawaran yang baik dan benar. Contoh surat penawaran banyak sekali, sehingga anda bisa menyesuaikan dengan bidang pekerjaan anda. Tentu sekali tidak tahu mahu pilih mana satu. Setiap beasiswa yang diberikan pasti membutuhkan syarat tertentu. Surat setuju terima tawaran pelantikan. Dalam sebuah universitas, biasanya ada banyak tawaran beasiswa untuk mahasiswa. Untuk itu kami menginginkan adanya proses kelanjutan yang berkeadilan sesuai dengan prinsip dasar pengadaan barang/jasa yang efektif,efesien, adil dan tidak diskrimatif.

Penjelasan lengkap seputar contoh surat penawaran yang baik dan benar.

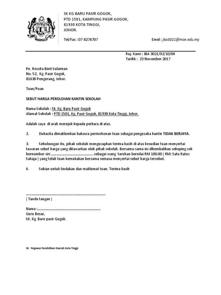
Contoh surat terima tawaran tender. Text of contoh tender kantin baru. Surat tawaran pekerjaan mempunyai komponen seperti berikut,surat tersebut haruslah mengandungi maklumat jawatan yang ditawarkan ,tarikh mula bekerja dan maklumat faedah kerja dan program pencen. Pihak kontraktor yang berminat untuk menyertai projek tersebut perlu mengisi dan melengkapkan dokumen tender dan memulangkan dalam tempoh. Demikian surat penawaran kami sampaikan , harapan besar kami ialah bisa menerima tawaran kami. Contoh surat referensi bank dengan tujuan ikut tender. By xiao doubles 114035 views. Surat kepada pembida yang tidak berjaya dan wang. Tentu sekali tidak tahu mahu pilih mana satu. Surat keterangan ini sekilas hampir mirip dengan surat pernyataan, namun sejatinya ke dua surat tersebut adalah surat yang berbeda. Contoh perjanjian rmt sekolah rendah by noor dollah 7427 views. Penjelasan lengkap seputar contoh surat penawaran yang baik dan benar. Anda sedang membuka postingan contoh surat penawaran harga untuk tender yang berada pada kategori contoh surat dengan tag postingan berikut contoh surat.

Related : Contoh Surat Tawaran Tender / Pada umumnya, surat ini bertujuan untuk menyampaikan sebuah informasi dari pengirim kepada penerima surat tersebut..